Carrières

Avancement

Avancement d’échelon 

De quoi s'agit-il ?

L'avancement d'échelon est, pour les agents fonctionnaires et les praticiens hospitaliers, le passage d'un échelon à l'échelon immédiatement supérieur à l'intérieur d'un même grade. Ex : passage de l’échelon 2 à l’échelon 3 du grade d’aide-soignant.

Pour précision, pour les praticiens hospitaliers les avancements d’échelon sont établis par le CNG.

Avancement de grade

De quoi s’agit-il ?

L’avancement de grade est le passage d’un grade à un grade supérieur à l’intérieur d’un même corps. Il permet l'accès à des fonctions supérieures et à une rémunération plus élevée. Ex : passage d’Infirmière en Soins Généraux de premier grade à Infirmière en Soins Généraux de second grade.

Pour en savoir davantage, contacter la Direction des ressources Humaines 

Vous trouverez des informations complètes dans les Lignes Directrices de Gestion du  CH SAUMUR, accessibles en cliquant sur le lien suivant : LIEN VERS LDG

Vous pouvez aussi consulter la loi n° 86-33 du 9 janvier 1986 portant dispositions statutaires relatives à la fonction publique hospitalière :

http://www.legifrance.gouv.fr/affichTexte.do?cidTexte=LEGITEXT000006068965

Pour le personnel médical PH : https://www.legifrance.gouv.fr/loda/id/LEGIARTI000045127297/2022-02-07/ 

Positions statutaires

Le fonctionnaire est toujours placé dans l'une (et une seule) des positions statutaires suivantes : en activité, temps partiel, détachement, disponibilité, congé parental, mutation, retraite(s).

Pour toute demande de modification de position statutaire

Carrière des personnels médicaux

Vous retrouverez toute l’expertise sur les statuts des personnels médicaux sur le site du CNG :

 Site du CNG

Rémunération

Droit à rémunération

La rémunération est un droit pour les fonctionnaires hospitaliers et les agents non titulaires de droit public selon le principe du service fait. Ce droit est fixé par l'article 20 de la loi n°83- 634 du 13 juillet 1983 et par l'article 87 de la loi n°84-53 du 26 janvier 1984. En application de ce principe de rémunération après service fait, l’agent qui n’accomplit pas son service n’a droit à aucune rémunération.

La paie comprend :

  • Le traitement indiciaire,
  • Le supplément familial de traitement

Peuvent s'y ajouter :

  • Des primes, indemnités et variables de paie
  • La nouvelle bonification indiciaire
  • Les avantages en nature

Personnel médical

La rémunération du personnel médical se compose généralement de plusieurs éléments :

  • Salaire de base (traitement indiciaire), défini par le grade et l’échelon
  • Les primes et indemnités
  • Autres variables de paie 

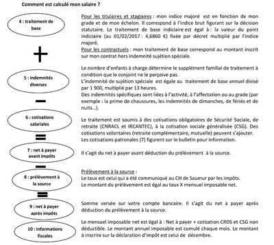
Description d’un bulletin de salaire

Mutation

La mutation ou le changement d’établissement permet aux agents titulaires de la fonction publique hospitalière de quitter leur établissement d’origine pour demander à intégrer un autre établissement public hospitalier.

En pratique : le fonctionnaire doit formuler une demande de mutation :

  • Auprès de son établissement d'origine par lettre recommandée avec accusé de réception et joindre la copie du courrier de l'administration d'accueil attestant sa volonté de le recruter,

  • Auprès de son établissement d'accueil.

Accédez au formulaire de demande de mutation

Retraite progressive

Vous pouvez solliciter une retraite progressive si vous remplissez les conditions suivantes : 

vous devez avoir 60 ans ; 

- vous réunissez au moins 150 trimestres dans tous vos régimes de retraite (privé + public)  

- vous exercez une activité à temps partiel (le temps partiel est soumis à l’accord de l’employeur) 

Pour toute demande de retraite progressive, téléchargez le formulaire.                 

Retraite

Vous pouvez consulter le service Info retraite afin :

  • D'accéder à des informations personnalisées sur vos droits à la retraite sur l’ensemble des régimes.
  • D'effectuer des simulations (notamment du montant de vos pensions de retraite) sur l’ensemble des régimes.
  • Et d'effectuer toutes les démarches en ligne nécessaires concernant votre retraite dans le secteur privé.
  • D'accéder à des informations personnalisées sur vos droits à la retraite sur l’ensemble des régimes.
  • D'effectuer des simulations (notamment du montant de vos pensions de retraite) sur l’ensemble des régimes.
  • Et d'effectuer toutes les démarches en ligne nécessaires concernant votre retraite dans le secteur privé.

https://www.info-retraite.fr/portail-services/login

Pour toute demande de retraite dans l’établissement : Accédez au formulaire de demande

 Pour toute information complémentaire sur la retraite, vous pouvez contacter Mme M. PROVENSAL :  @email ou par téléphone, poste 3551.

Personnel médical :

En premier lieu, nous vous invitons à consulter le service Info retraite afin :

  • D'accéder à des informations personnalisées sur vos droits à la retraite sur l’ensemble des régimes.
  • D'effectuer des simulations (notamment du montant de vos pensions de retraite) sur l’ensemble des régimes.
  • Et d'effectuer toutes les démarches en ligne nécessaires concernant votre retraite dans le secteur privé.

https://www.info-retraite.fr/portail-services/login

Dans un second temps, nous vous invitons à solliciter un RDV individuel auprès de la caisse des dépôts au 02 41 05 25 00. 

Concernant les praticiens hospitaliers, vous trouverez des informations sur le site du CNG via Cessation des fonctions | Le CNG

Pour toute demande de retraite dans l’établissement, merci de bien vouloir contacter le bureau des affaires médicales qui vous guidera dans les démarches à suivre selon votre statut via le mail @email ou au 02 41 53 32 85